אבקת ויטמין K3
מראה: אבקה גבישית לבנה
תקן: USP
חבילה: 25 ק"ג/תוף
יכולת אספקה: 50000 ק"ג לחודש חיי מדף: שנתיים
יישום: חומר גלם תזונתי, דרגת מזון/מזון
תשלום: T/T, LC או DA
דוגמה: זמין
זמן אספקה: מלאי מוכן במחסן מקומי, 1-3 ימים
משלוח מהיר ומאובטח
מוצא: סין
משלוח: DHL, FedEx, TNT, EMS, בדרך ים, באוויר
הסמכות: ISO9001, ISO22000, HACCP, HALAL, KOSHER
לא יכול למכור ליחידים
- משלוח מהיר
- בקרת איכות
- שירות לקוחות 24 / 7
מבוא מוצר
מהי אבקת ויטמין K3?
ברוכים הבאים ל-Yihui, המקור המהימן שלך לאיכות גבוהה אבקת ויטמין K3. כיצרנית וספקית מובילה, Yihui מתגאה במתן מוצר העונה על הדרישות המחמירות של קונים מקצועיים וסוחרים גלובליים.
מידע בסיסי
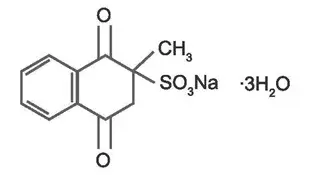
ויטמין K3 MSB96
C מראה: אבקה גבישית לבנה תוכן MSB: ≥96.0% יישום: תוסף הזנה חבילה: 25KGS/קרטון;500KGS/תיק ארוג אחסון: הגן מפני אור, חום, לחות ושמור אטום | ![]() |
ויטמין K3 MNB96
C מראה: אבקה גבישית לבנה או צהובה בהירה תוכן MNB: ≥96.0% יישום: תוסף הזנה חבילה: 25KGS/קרטון;500KGS/תיק ארוג" אחסון: הגן מפני אור, חום, לחות ושמור אטום | ![]() |
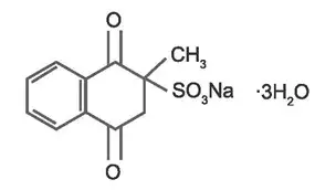
ויטמין K3 MSBC
C מראה: אבקת גבישי לבן תוכן MSB: ≥65.0% יישום: תוסף הזנה חבילה: 25KGS/קרטון;500KGS/תיק ארוג אחסון: הגן מפני אור, חום, לחות ושמור אטום | ![]() |
פרמטר מפרט:
| פרמטר | ערך |
|---|---|
| מראה חיצוני | אבקה דקה |
| צֶבַע | לבן לאוף ווייט |
| טוֹהַר | ≥ 98% |
| מְסִיסוּת | מסיס במים |
| רֵיחַ | ריח |
| מצב חפצים | אחסן במקום קריר ויבש |
תרכובת כימית:
| תרכובת | אחוז הרכב |
|---|---|
| ויטמין K3 | 98% |
| מרכיבים לא פעילים | 2% |
אפקטים ופונקציות:
ההשפעות והמרכיבים של אבקת ויטמין K3, הנקראים אחרת מנדיון, הם מגוונים וקריטיים עבור מחזורים אורגניים שונים:
עיבוי דם: זה לוקח חלק מהותי בשילוב של חלבונים מקרישי דם, פרוטרומבין במפורש ומשתנים מתעבים אחרים. חלבונים אלה הם הבסיסיים להצפת הקרישה, שהיא קריטית להחלמת הפצעים ולמניעת מוות מופרז.
רווחת העצם: זה מוסיף לעיכול העצם על ידי תמיכה בשילוב של אוסטאוקלצין, חלבון העוסק במינרליזציה של העצם. רמות מספיקות של חומרי הזנה K3 מסייעות בשמירה על עובי וחוזק העצם, באופן זה תומכות ברווחת העצם.
תכונות חומר למניעת סרטן: מנדיון נתרן ביסולפיט מציג תכונות של חומר למניעת סרטן, שיכול לסייע בשמירה על תאים ורקמות מפני נזק חמצוני שנגרם על ידי מהפכנים חופשיים. לפעילות נוגדת חמצון זו עשויה להיות השפעה על מגוון תפקודים פיזיולוגיים ותורמת לבריאות הכללית של התאים.
הזנת יצורים: במזון יצורים, זה מהווה תוספת בסיסית לבעלי חיים, כולל עופות, חזירים ופרות. תוספת מספקת של ויטמין K3 ביצור אוכל פחות פחמימות מונעת נסיבות דימומיות ותומך בדרך כלל ברווחה, התפתחות והתקדמות.
מטרות מודרניות: הוא משמש ביישומים תעשייתיים רבים בנוסף לתפקידו בתזונה לבעלי חיים. הוא מנוצל בניסוח מזון לחיות מחמד וייצור של תערובות ויטמינים למזון לבעלי חיים. יתר על כן, החומר התזונתי K3 מנוצל בסידורי תרופות ספציפיים וכחלק בפריטים ברמת פני השטח ובמוצרי טיפוח.
תהליך סינתזה:
תהליך הסינתזה של אבקת ויטמין K3, הידוע גם בשם מנדיון, כולל מספר שלבים מרכזיים לייצור תרכובת חשובה זו. להלן סקירה כללית של תהליך הסינתזה:
חומרים התחלתיים: הסינתזה של זה מתחילה בדרך כלל בבחירה של חומרי מוצא מתאימים, שעשויים לכלול תרכובות מקדימות וריאגנטים הדרושים לשינוי הכימי.
תגובה כימית: הסינתזה של מנדיון כוללת תגובות כימיות ספציפיות להמרת חומרי המוצא למוצר הרצוי. תגובות אלו עשויות לכלול חמצון, אלקילציה או טרנספורמציות אורגניות אחרות כדי להציג את הקבוצות הפונקציונליות והתכונות המבניות הנחוצות האופייניות לה.
טיהור: בעקבות תגובות החומר, הפריט המחוספס עובר מחזורי טיהור כדי לחסל את השפלות ולבודד את המתחם האידיאלי שלו. שיטות חידוד כמו התגבשות, זיקוק או כרומטוגרפיה עשויות להיות מנוצלות כדי להשיג את מידת המעלות הצפויה.
בקרת איכות: לאורך כל האינטראקציה המשולבת, מתבצעים אמצעי בקרת איכות על מנת להבטיח את המכובדות, הניקיון והסידור של התוצאה הסופית. ניתן להשתמש בשיטות לוגיות כמו ספקטרוסקופיה, כרומטוגרפיה וספקטרומטריית מסה כדי לבדוק את האישיות והטבע של המנדיון המעורב.
אריזה וניסוח: כאשר השילוב והחידוד של המוצרים יסתיימו, התרכובת עשויה לעבור את התוכנית לתוך מסגרות הפריט האידיאליות, כמו אבקה או נוזל. על מנת להבטיח את היציבות והשלמות של המוצר המוגמר לאורך כל אחסונו והפצתו, נעשה שימוש בטכניקות וחומרי אריזה מתאימות.
תאימות לתקנות: תהליך הסינתזה חייב לעמוד בתקנות ובהנחיות הרלוונטיות המסדירות את הייצור של תרכובות פרמצבטיות או תעשייתיות. עמידה בדרישות הרגולטוריות מבטיחה כי המנדיון המסונתז עומד בתקני בטיחות, איכות וחוק.
סטנדרטים של איכות :
נורמות איכות עבור אבקת ויטמין K3, המכונה אחרת menadione, הם בסיסיים כדי להבטיח את רווחתו, כדאיותו והתאמתו לשימוש ביישומים שונים. החלקים העיקריים בעקרונות האיכות של פריט זה הם לפי הדברים הבאים:
ללא רבב וחתיכה: רמות הטוהר וההרכב המקובלות שלו נקבעות על פי תקני איכות. על מנת להבטיח שהמוצר עומד בקריטריוני האיכות שצוינו, תקנים אלה מציינים את הזיהומים והמזהמים המרביים המותרים.
שיטות ייצור: הקפדה על נהלי הרכבה גדולים (GMP) היא משמעותית ליצירת אבקת K3 מזין. כללי GMP ממסגרים את המחזורים, הבקרות והתיעוד החשובים כדי להבטיח את האיכות והאבטחה הקבועה של הפריט במהלך ההרכבה.
עקביות מנהלית: עקרונות האיכות עבורו צריכים להתאים להנחיות וכללים משמעותיים שנקבעו על ידי מומחים מנהליים כמו ארגון המזון והתרופות (FDA), משרד המרשמים האירופי (EMA) וגופים מפקחים אחרים. עקביות עם הנחיות אלה היא בסיסית להבטחת אבטחת הפריט ולגיטימיותו.
תחומי יישום בתעשיות שונות:
שדות היישום של אבקת ויטמין K3, הנקרא אחרת מנדיון, אורכו על פני עסקים שונים בגלל תפקידו הבסיסי במחזורים טבעיים והמטרות המודרניות האפשריות שלו. להלן חלק משדות היישום העיקריים שבהם נעשה שימוש במוצר:
עסקי סמים: הוא משמש כמבשר בעסקי התרופות לייצור תערובות ויטמין K אחרות, כמו מנקינון וחברות בנות שלו. מאחר שתערובות אלו חיוניות לקרישת הדם ולעיכול העצם, ניתן להשתמש בהן לייצור תרופות ושיפורים.
הזנת יצורים: הוא משולב בפריטי מזון ופריטי מזון ליצורים כדי לסייע לרווחתם ולשגשוגם של בעלי חיים מבויתים, עופות וחיות מחמד. זה לוקח חלק קריטי בעובי הדם וביכולות מטבוליות בדרך כלל אצל יצורים, מה שמוסיף לרווחתם הכללית ולחובה.
מוצרי טיפוח יופי והתחשבות אישית: ניתן להשתמש במוצרים ברמת פני השטח ובפריטים פרטניים בגלל יתרונות העור הפוטנציאליים שלהם. מקובל כבעל תכונות חיזוק תאים יכול לסייע בהגנה על העור מפני לחץ חמצוני ולקדם את רווחת העור באופן כללי.
יישומים תעשייתיים: יש לו יישומים תעשייתיים, כולל השימוש בו כתוצר ביניים כימי בסינתזה של תרכובות שונות. ניתן להשתמש בו גם בתהליכים ויישומים כימיים מסוימים שבהם התכונות הכימיות הייחודיות שלו מועילות.
מחקר ופיתוח: הוא מנוצל במחקר ופיתוח מדעיים, במיוחד במחקרים הקשורים לחילוף החומרים של ויטמין K, מסלולי קרישה ויישומים טיפוליים פוטנציאליים שלו במצבי בריאות שונים.
יישומים מעבדתיים ואנליטיים: הוא משמש כמגיב בהליכים מעבדתיים ואנליטיים שונים, במיוחד במחקרים הקשורים לוויטמין K ונגזרותיו.
צור קשר:
לסיכום, Yihui עומד כבעל מוניטין אבקת ויטמין K3 יצרן וספק, תוך שמירה על הסטנדרטים הגבוהים ביותר בענף. המחויבות שלנו לאיכות מודגשת על ידי ההסמכות שלנו ב-ISO, כשר, חלאל ו-GMP. למי שמחפש לרכוש שלנו ויטמין k3 MSB או חקור את שירותי OEM, פנה אלינו בכתובת sales@yihuipharm.com. סמוך על Yihui על מצוינות בכל חלקיק.
לשלוח הודעה
אם יש לך שאלה כלשהי לגבי הצעת מחיר או שיתוף פעולה, אל תהסס לשלוח לנו דוא"ל ב-E-mail או השתמש בטופס החקירה הבא. נציג המכירות שלנו ייצור איתך קשר תוך 24 שעות. תודה על התעניינותך במוצרים שלנו.












